MG冰球突破官网
学校主页
实训平台
首页
学院概况
学院简介
机构设置
现任领导
党群工作
党建动态
组织建设
学习教育
学生党建
妇委会
共青团
工会工作
教师队伍
师资概况
专业师资
诚聘英才
本科教学
本科专业
教学动态
研究生培养
学位授权点
导师队伍
招生信息
科学研究
科研概况
科研机构
科研平台
科研成果
学科建设
学科动态
博士点建设
硕士点建设
学生工作
学工动态
学风建设
科技创新
就业信息
对外交流
国内合作
国际交流
ENGLISH
Introduction
Organization
Faculty and staff
Globe cooperation
导航
首页
学院概况
学院简介
机构设置
现任领导
党群工作
党建动态
组织建设
学习教育
学生党建
妇委会
共青团
工会工作
教师队伍
师资概况
专业师资
诚聘英才
本科教学
本科专业
教学动态
研究生培养
学位授权点
导师队伍
招生信息
科学研究
科研概况
科研机构
科研平台
科研成果
学科建设
学科动态
博士点建设
硕士点建设
学生工作
学工动态
学风建设
科技创新
就业信息
对外交流
国内合作
国际交流
ENGLISH
Introduction
Organization
Faculty and staff
Globe cooperation
研究生培养
学位授权点
|
导师队伍
|
招生信息
|
招生信息
首页
研究生培养
招生信息
正文
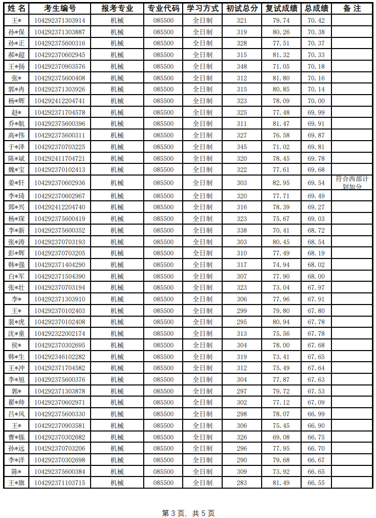
MG冰球突破官网2022年硕士研究生一志愿复试考生成绩表
发布人:机汽学院
时间:2022-03-31
浏览:
上一页
[1]
[2]
[3]
[4]
[5]
下一页